!
Mortalität - 4
 
 

Die Sterbetafel (früher auch "Absterbeordnung" genannt), ist ein standardisiertes Schema, das die relative Sterblichkeit in Form der Überlebenswahrscheinlichkeit (Bevölkerungsgeographie) bzw. der Altersspezifischen Sterbewahrscheinlichkeit nqx (Demographie) enthält.


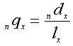
Für deren Berechnung wird die Zahl der in einem Lebensintervall von x bis x+n Jahren Gestorbenen (ndx) ins Verhältnis zur Anzahl der lebenden Personen am Anfang des Lebensintervalls x (lx) gesetzt:

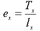
Daraus leitet sich die mittlere Lebenserwartung (ex) ab, die in der vollständigen Sterbetafel als Spalte enthalten ist. Sie drückt für jedes Alter und Geschlecht die durchschnittlich noch zu erlebende Anzahl an Jahren einer Person aus und wird als Quotient der verbleibenden Lebenszeit (T) des Jahrgangs x zur Anzahl der lebenden Personen des Jahrgangs x (lx) dargestellt:

Die Berechnung der Lebenserwartung erfolgt also über die erreichten Lebensalter der bereits gestorbenen Personen der jeweiligen Altersjahrgänge und wird in eine Reihe mit der zeitgleichen Sterblichkeit aller anderen Jahrgänge gestellt. Damit wird eigentlich über die zeitgleiche Sterblichkeit aller Lebensalter gemittelt, und in die ausgewiesene Lebenserwartung geht die Sterblichkeit verschiedener Lebensalter ein. Die reale mittlere Lebenserwartung einer Person eines beliebigen Alters kann hingegen erst dann für verschiedene Lebensstationen dieses Jahrgangs ermittelt werden, wenn alle Personen dieses Jahrgangs verstorben sind.
In der Literatur gibt es mehrere Hinweise auf die Zuverlässigkeit dieser Berechnungen. So verweist SCHOTT (1999, S. 111) auf die notwendige Beachtung der Mächtigkeit der realen Bevölkerung und fordert bei Beständen von deutlich unter 10 Millionen Personen spezielle Schätzungen der Genauigkeit der Angaben. Zugleich verweist er auf verschiedene Schwächen der Berechnung der Lebenserwartung, die sich durch die Übernahme von Schätzfehlern einzelner Lebensjahre in das jeweils höhere Lebensjahr kulminieren. So baut sich ein Standardfehler für die Lebenserwartung mit ansteigendem Alter immer stärker auf. Zum Beispiel hätte ein 80jähriger den größten Einzeleinfluss auf den Fehler zur Lebenserwartung, obwohl die Schätzung der altersspezifischen Sterbewahrscheinlichkeit in diesem Alter am zuverlässigsten ist. Das ist aber paradox, wenn man bedenkt, dass mit steigendem Alter immer weniger Personen der jeweiligen Altersgruppe älter werden und dann auch nur noch relativ kurze Zeit in der Bewertung verbleiben, wogegen die Neugeborenen ihren Beitrag bzw. ihren Fehlerbeitrag zur berechneten Lebenserwartung über das ganze Leben hinweg einbringen können. Selbst wenn also die Lebenserwartung der 80jährigen nur mit sehr hohem Fehler berechnet werden kann, ist das relativ unwesentlich für das Ergebnis "mittlere Lebenserwartung", denn die 0jährigen müssten erst dieses Alter erreichen, und haben sie es erreicht, so "lebt" der ihrer Altersgruppe "angehörende" Fehler im Tafelmodell nur noch wenige Jahre. (ebenda, S. 112 f.)

Übersicht  
!