!
Mortalität - 1
 
 

Der Begriff der Sterblichkeit (Mortalität) wird in der Bevölkerungsgeographie ähnlich wie in der Bevölkerungsstatistik benutzt. Er kennzeichnet den anteiligen Umfang und die Struktur des Risikos der Menschen einer Bevölkerung (oder ausgewählter Teile), nach einer bestimmten Lebensdauer zu sterben. Mortalität ist also - ähnlich der Fertilität - kein Ausdruck einer potentiellen Fähigkeit. Die Mortalitätsanalytik berechnet die Sterbeintensitäten mx in der Grundgesamtheit (mit mx=Gestorbene der Altersgruppe x bis x+h, geteilt durch die mittlere Bevölkerung dieser Altersgruppe). Diese Maßzahlen sind - abhängig von der Zählgenauigkeit - exakt und statistisch nicht in Zweifel zu ziehen (SCHOTT 1999, S. 111). Wird hingegen die Mortalität als ein Maß des Todes nach einer durchschnittlichen Lebensdauer angenommen, wird sie am mittleren Alter zum Zeitpunkt des Todes bisher gestorbener Menschen gemessen und ist damit eine wahrscheinlichkeitstheoretische Aussage.
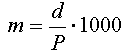
Das einfachste Maß der Sterblichkeit ist die Sterbeziffer m (Statistik) bzw. die Allgemeine oder rohe Sterbeziffer (Demographie) bzw. die (rohe) Sterberate (Bevölkerungsgeographie), bei der die Gestorbenen (d) auf 100 bzw. 1 000 Einwohner (UNO) bzw. (wie in der BRD) der mittleren Bevölkerung (P) bezogen werden. Totgeborene gehen in diese Berechnung nicht mit ein. Der in der älteren Literatur übliche Bezug auf je 100 Einwohner erbrachte Prozentwerte, welche bei der damaligen Bevölkerungsdynamik durchaus ihre Berechtigung hatten:


Dieses Maß ist zwar eine gute erste Näherung an das Phänomen Sterblichkeit, da die Urdaten relativ leicht zu ermitteln sind. Hingegen ist es für räumliche und zeitliche Vergleiche nur eingeschränkt geeignet, da insbesondere altersstrukturelle Unterschiede sowie die Fluktuation der Bevölkerung durch Wanderungen mit einfließen.
Die Mortalität von Gruppen lässt sich generalisiert nach den Grundformen der Überlebenskurven differenzieren . Kurve I beschreibt eine nahezu vollständige physiologische Mortalität in hohem Alter, wobei für die gesamte Population eine gleichartige genetische Langlebigkeit und gleiche Lebensumstände ohne Einschränkungen der Lebenserwartung unterstellt werden, was in der Praxis so gut wie ausgeschlossen sein dürfte. Auch die Kurve II beschreibt einen heute eher theoretischen Verlauf der konstanten Sterblichkeit einer Population. Es ist allerdings zu vermuten, dass den Alterspyramiden vor der Industrialisierung eine eben solche Mortalität zugrunde lag. Die Kurven III und IV stellen eine mit dem Alter zunehmende Mortalität dar, wobei der Unterschied aus differenzierten Ausprägungen der Kinder- und Jugendsterblichkeit resultiert. Diese vier idealisierten Grundformen treten in der Überlebenskurve des Menschen kombiniert auf: Sie beginnt, in Abhängigkeit der jeweiligen Kindersterblichkeit, mit der Kurve III oder IV, verläuft dann lange Zeit als Kurve I, um dann etwa als Kurve II zu enden. (FREYE 1978, S. 152 ff)


Grundtypen der Überlebenskurven

Quelle: FREYE 1978, S. 152
Übersicht  
!