!
Mortalität - 3
 
 

Die auf die Höhe der Sterblichkeit einwirkenden Einflüsse lassen sich sowohl nach der individuellen psychischen und biotischen Disposition (Vitalität bzw. Morbidität) als auch nach äußeren Bedingungen differenzieren. Zu letzteren gehören vorrangig:

  • natürliche bzw. naturräumliche Determinanten (tödliche Krankheiten, Naturkatastrophen),
  • sozialökonomische, politische und kulturelle Determinanten (Umfang und Qualität der Ernährung, Anteil der körperlichen Arbeit und Arbeitsschutz) sowie Lebensgewohnheiten mit positiven oder negativen Auswirkungen auf die Lebensdauer (Breitensport zur Verbesserung des Wohlempfindens; dagegen Rauchen und Gebrauch von anderen Drogen als Massenerscheinung, Alkoholismus, Zugänglichkeit zur medizinischen Versorgung),
  • medizinische Determinanten in Abhängigkeit vom wissenschaftlich-technischen Fortschritt (z. B. allgemeine Hygiene, gesundheitliche Aufklärung und Prävention, Schutzimpfungen, Sicherheit von Medikamenten).
  • Diese Einflüsse verändern in Abhängigkeit von ihrer Wirkdauer, Intensität und Direktheit die Vitalität bzw. Morbidität einer Person. Sie reflektieren in spezifischer Weise die von der WHO deklarierten "Eckpfeiler der Gesundheit":

  • Erbanlagen und körperliche Gesundheit,
  • soziale Gesundheit,
  • geistige Gesundheit, Geselligkeit und Lebenslust.

  • Gesundheit ist danach ein Zustand des vollkommenen (!) körperlichen, geistigen und seelischen Wohlbefindens und nicht nur das Freisein von Krankheiten und Gebrechen. Andererseits steht die Morbidität einer Person gewissermaßen zwischen Gesundheit und Tod. Dennoch bedeuten Krankheiten und Gebrechen nicht zwangsläufig einen solchen Grad von Versehrtheit, dass daraus unmittelbar der Tod folgen muss. Das zeigt sich u. a. am hohen Anteil jener Menschen, die an Alltagsbeschwerden leiden , d. h. an solchen gesundheitlichen Störungen, die von der WHO ebenfalls als Krankheiten eingestuft werden, wie z. B. Missempfindungen, leichtere Beeinträchtigungen des Leistungsvermögens, Unpässlichkeiten.

    Häufigkeit von Alltagsbeschwerden in (West-)Deutschland bei Personen im Erwerbsalter

    Quelle: Gesundheits-Brockhaus 1990, S. 20.

    Der Anteil jener Bevölkerungsgruppen, die mit größerer Wahrscheinlichkeit zum Ableben neigen, hat einen besonders starken Einfluss auf die Mortalität. Das betrifft vorrangig den Anteil kranker und alter Menschen, deren Sterblichkeit am höchsten ist. Dagegen ist in Regionen mit geringen Lebenschancen für die Jüngsten (Kleinkinder und Säuglinge) der Anteil der jungen Bevölkerung wichtig.
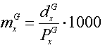
    Gie Abhängigkeit der Sterblichkeit von bestimmten Lebenssituationen oder Lebenslagen führte in vielen Ländern schon frühzeitig zur Ausweisung der Anzahl der Todesfälle nach Alter und Geschlecht, die in der Sterbetafel dokumentiert werden. Der wichtigste Wert ist dabei die altersspezifischen Sterbeziffer (mx). Dafür werden die Anzahl der Gestorbenen (d) nach Alter und Geschlecht auf 1 000 Lebende des jeweiligen Alters (x) und Geschlechts (G) bezogen (vgl. u. a. HEIGL/SCHMID 1996, S. 433):

    Damit können Verzerrungen der Aussagen durch Unterschiede im Altersaufbau ausgeschlossen werden. Auch zeitliche und insbesondere räumliche Vergleiche werden so ermöglicht, sofern die entsprechende Bevölkerung nicht durch migrationellen Austausch mit Gruppen signifikant anderer Sterblichkeit zu stark strukturell überformt wird. So gibt es deutliche Unterschiede in der Sterblichkeit benachbarter Populationen mit relativ starkem Bevölkerungsaustausch (z. B. durch Landflucht in bestimmte Metropolen der Entwicklungsländer), wodurch sich die Sterblichkeit in der Zielpopulation ändern kann.

    Übersicht  
    !