!
Natalität - 5
 
 

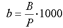
Das wichtigste Maß der Geburtlichkeit ist die Geburtenrate (b), die Anzahl der Lebendgeborenen (B) je 1.000 Einwohner (P):


Die Literatur birgt dafür mehrere synonyme Bezeichnungen, z. B. die Allgemeine oder die rohe Geborenenziffer. Mit diesem Wert erhält man eine erste Überblicksaussage, bei der aber die Unterschiede in der Alters- und Geschlechtsgliederung von Bevölkerungen unberücksichtigt bleiben. Diesbezüglich haben Frauen im fertilen Alter die größte Bedeutung für die Reproduktion einer Bevölkerung. Genau darauf richten sich mehrere feinere Maße, insbesondere (vgl. u. a. Heigl/Schmid 1996, S. 432):

  • die allgemeine Fruchtbarkeitsziffer (AFZ): die Anzahl der Lebendgeborenen (B) eines Jahres je 1.000 Frauen im Alter zwischen 15 und 45 Jahren (F15;44), dem sog. "gebärfähigen Alter":
  • die altersspezifische Geburtenziffer (bx) bzw. die altersspezifische Fruchtbarkeit (fx): die Anzahl der Lebendgeborenen eines Jahres (Bx) je 1.000 Frauen eines bestimmten Alters x, in der Regel mit x von 15 bis 44 Jahren, bzw. einer Frauenkohorte (Gruppe von Altersjahrgängen):
  • die Summe der altersspezifischen Geborenenziffer, auch zusammengefasste Geborenenziffer (Statistik) bzw. die kumulierte oder Summe der altersspezifischen Fruchtbarkeit (Sfx), in der internationalen Literatur auch als Total Fertility Rate (TFR) bezeichnet: die Summe über die altersspezifische Fruchtbarkeit aller Lebensjahre; dieser Wert ergibt die Anzahl der Kinder, die 1.000 Frauen im Laufe ihres Lebens gebären würden, wenn sich die altersspezifische Geburtenziffer künftig nicht ändert; er wird nicht von Änderungen im Altersaufbau beeinflusst:
  • die Bruttoreproduktionsrate (BRR) bezeichnet die Summe der altersspezifischen Fruchtbarkeitsziffern für weibliche Lebendgeborene (w):
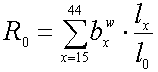
  • die Reproduktionsrate bzw. die Nettoreproduktion (R0): die Anzahl der Töchter, die von der Gesamtzahl der Frauen im gebärfähigen Alter einer Bevölkerung durchschnittlich im Laufe eines Lebens geboren wird; sie drückt aus, inwieweit die gegenwärtige Fertilität einer Bevölkerung ausreicht, um deren Anzahl zu erhalten; ein Wert von 0,64 bedeutet z. B., dass 36 % weniger Töchter geboren werden, als zur Bestandserhaltung der weiblichen Bevölkerung nötig wäre; dieser Wert ist nur hinsichtlich der ins gebärfähige Alter gelangenden Töchter von Bedeutung, d. h. es wird die Überlebenswahrscheinlichkeit weiblicher Nachkommen (lx/l0) in die Berechnung mit einbezogen:
  • die Gesamtfruchtbarkeit: die durchschnittliche Anzahl von Kindern je Frau bei Unterstellung der jeweils aktuellen altersspezifischen Fruchtbarkeit, rechnerisch ein Tausendstel der Summe der altersspezifischen Fruchtbarkeit;
  • das Bestandserhaltungsniveau: jene Gesamtfruchtbarkeit, die für eine Bevölkerung nötig ist, um langfristig ihre Anzahl konstant halten zu können ("Nullwachstum", d. h. Anzahl der Geborenen = Anzahl der Gestorbene); der optimale Wert wird als "einfache Reproduktion" bezeichnet und liegt bei 2,1 bis 2,4 Kindern je Frau, womit der Jungenüberschuss bei der Geburt und die Sterbefälle vor Abschluss des fertilen Alters beachtet werden. Auf die Weltbevölkerung bezogen wird auch von der Globalen Ersatzfruchtbarkeit gesprochen, welche laut Bericht der Vereinten Nationen im Jahr 2045 erreicht werden könnte (KENNEDY 1997, S. 39).
  •  
    !